Ответы и авторские решения на все задания для 9 класса олимпиада Сириус по физике 3 октября 2025 школьный этап ВСОШ официальной всероссийской олимпиады школьников 4 группы регионов всего в олимпиаде 3 задания от Академии сова.
→ Получить все ответы и задания
Олимпиада по физике 9 класс школьный этап 2025 Сириус
1. В калориметр экспериментатора Глюка встроен нагревательный элемент. Выделявшаяся в ходе эксперимента на элементе мощность менялась во времени по сложному закону с периодичностью 4τ. Считайте, что N0=80 Вт, а τ=20 с. Тепловые потери во всех вопросах, кроме последнего, не учитывайте.

Определите максимальное значение выделившейся на нагревательном элементе мощности. Ответ выразите в ваттах, округлите до целых.
Ответ: 240
Определите количество теплоты, выделившееся в промежутке времени от τ до 2τ. Ответ выразите в джоулях, округлите до целых.
Ответ: 3200 Дж
Определите изменение температуры содержимого калориметра с теплоёмкостью C=750 Дж/∘C за 60 секунд, если известно, что за это время не происходила смена агрегатного состояния содержимого. Ответ выразите в градусах Цельсия, округлите до целых.
Ответ: 13
Определите среднюю мощность нагревателя за время, много большее τ. Ответ выразите в ваттах, округлите до десятых.
Ответ: 120,0 Вт
Определите время плавления содержимого калориметра, взятого при температуре плавления. Масса содержимого — 3 кг, удельная теплота плавления — 60 кДж/кг, тепловые потери за время плавления — 20 %. Ответ выразите в секундах, округлите до целых.
Ответ: 1875 с
2. В сосуд налили первую жидкость. Затем в него поместили однородный кубик с длиной ребра 12 см и плотностью 800 кг/м3. Кубик стал плавать, и над жидкостью выступала часть кубика высотой 4 см. В сосуд долили вторую жидкость. Кубик стал плавать, погрузившись на 8 см во вторую и на 4 см в первую жидкости. Жидкости не смешивались, две грани кубика всегда оставались горизонтальными, и свободная поверхность жидкости в конце совпала с положением верхней грани кубика. Ускорение свободного падения g=10 м/с2.
Как изменилась сила давления на нижнюю грань кубика после добавления второй жидкости?
Увеличилась
Уменьшилась
Не изменилась
Ответ: не изменилась
Определите массу кубика. Ответ выразите в граммах, округлите до десятых.
Ответ: 1555,2 г
Определите плотность первой жидкости. Ответ выразите в кг/м3, округлите до целых.
Ответ: 1350
Определите плотность второй жидкости. Ответ выразите в кг/м3, округлите до целых.
Определите перепад давления между нижней и верхней гранями кубика после добавления второй жидкости. Ответ выразите в паскалях, округлите до целых.
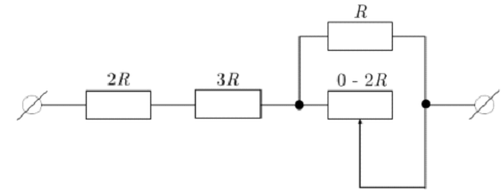
3. Участок цепи, схема которого приведена на рисунке, состоит из трёх резисторов, номиналы которых кратны R=0.8 кОм, и реостата, сопротивление которого может меняться в диапазоне от 0 до 2R. На концах участка поддерживается постоянное напряжение. Ползунок реостата находится в среднем положении, а через резистор 2R протекает ток силой I=40 мА.

Определите падение напряжения на резисторе 2R. Ответ выразите в вольтах, округлите до целых.
Определите тепловую мощность, выделяющуюся на резисторе 3R. Ответ выразите в милливаттах, округлите до целых.
Определите напряжение на концах участка цепи. Ответ выразите в вольтах, округлите до целых.
Какую максимальную силу тока можно получить на этом участке, смещая ползунок реостата? Ответ выразите в миллиамперах, округлите до целых.
3 октября олимпиада по физике 4 группа регионов:
Алтайский край 65. Амурская область 66. Еврейская автономная область 67. Забайкальский край 68. Иркутская область 69. Камчатский край 70. Кемеровская область — Кузбасс 71. Красноярский край 72. Магаданская область 73. Новосибирская область 74. Приморский край 75. Республика Алтай 76. Республика Бурятия 77. Республика Саха (Якутия) 78. Республика Тыва 79. Республика Хакасия 80. Сахалинская область 81. Томская область 82. Хабаровский край 83. Чукотский автономный округ.
